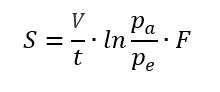
Данный калькулятор предназначен для расчета производительности вакуумного насоса, при наличии величин откачиваемого объема, начального и конечного давлений в системе, и времени вакуумирования емкости. По аналогичному принципу можно рассчитать время откачки заданного объема, для этого необходимо внести производительность насоса, начальное и конечное давления в системе.
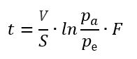
Для расчета производительности вакуумного насоса при откачивании объема за определенное время преобразуем предыдущее выражение:
Расчет
